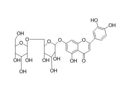
木犀草素-7-O-龙胆二糖苷
| 产品编号 | HL061039 | 分子式 | C27H30O16 |
| 英文名称 | luteolin-7-O-gentiobiside | 分子量 | 610.52 |
| CAS | 70855-41-3 | 等级 | AS |
| HPLC | 98% | 产品规格 | 20mg/瓶 |
| 货号&等级 | 规格 | 交货期(天) | 价格 | 数量 |
|---|---|---|---|---|
| HL061039-AS | 20mg/瓶 | 5 | ¥4 500.00 |
|
木犀草素-7-O-龙胆二糖苷
luteolin-7-O-gentiobiside CAS 70855-41-3 分子量:610.52 分子式:C27H30O16
纯 度: HPLC98%
物理性状: 白色粉末
检测方法: 高效液相(HPLC)质谱(Mass) 核磁(NMR)
用 途: 仅供研究使用,不得用于医学诊断。
包 装: 20mg~1g 棕色玻璃瓶。
20mg-1kg不同包装可供,大包装报价请咨询客服人员。
储存条件: 贮存在避光密闭容器中,冷藏或者冷冻长期保存。
样品溶液现配现用。如果特殊情况需要提前配制的话,最好分成独立包装冷冻保存(-20℃以下),临用前再取出解冻,通常可以保存2周。
植物来源
菊科植物山苦荬的全草或根苦碟子Ixeris denticulata
药理研究
苦碟子有抗肿瘤、降血脂和心血管等多方面的活性。
参考文献


周一至周五 8:30 - 17:30

